A. Suku Banyak (Polinom) adalah
Bentuk Umum :
dimana :
adalah konstanta
, n bilangan cacah.
Pangkat tertinggi x menyatakan derajat suku banyak.
Contoh :
Bentuk Umum :
dimana :
Pangkat tertinggi x menyatakan derajat suku banyak.
Contoh :
Cara Menghitung :
1. Dengan Substitusi
Jika, maka nilai suku banyak tersebut x = -1 atau f (-1) .
2. Dengan pembagian sistem horner
Jikaadalah suku banyak, maka f (h) diperoleh dengan cara berikut :
* Jika pembaginya fungsi linier, maka hasil bagi dan sisanya dapat dicari dengan cara metode pembagian sintetis Horner
* Jika pembaginya bukan linier dan tidak dapat diuraikan maka digunakan metode identitas.
* Jika pembaginya bukan linier dan tidak dapat diuraikan maka digunakan metode identitas.
Contoh:
Tentukan hasil bagi dan sisa pembagian suku banyak:
dengan x -1 dengan menggunakan metode sintesis Horner!
Jawab :
Pembagian adalah (x-1), berarti k = 1
Kita gunakan metode sintetik berikut:
Dari bagan diatas terlihat bahwa hasil bagi adalah (x-1) dan sisa 40
Tentukan hasil bagi dan sisa pembagian suku banyak:
Jawab :
Pembagian adalah (x-1), berarti k = 1
Kita gunakan metode sintetik berikut:
Dari bagan diatas terlihat bahwa hasil bagi adalah (x-1) dan sisa 40
D. Teorema Sisa
- Suatu suku banyak f ( x ) jika dibagi ( x – a ) maka sisanya = f ( a )
- Suatu suku banyak f( x ) jika dibagi ( x + a) maka sisanya f (-a)
- Suatu suku banyak f ( x ) jika dibagi (ax – b) maka sisanya =
- Suatu suku banyak f ( x ) habis dibagi (x – a) maka f (a) = 0
E. Teorema Faktor
- Jika pada suku banyak f (x) berlaku f (a) = 0 dan f (b) = 0 maka f (c) = 0 maka f (x) habis dibagi (x – a)(x – b)(x – c).
- Jika (x – a) adalah faktor dari f (x) maka x = a adalah akar dari f (x).
- Jika f (x) dibagi oleh (x – a)(x – b) maka sisanya :
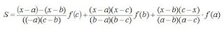
- Jika f (x) dibagi oleh (x – a)(x – b)(x – c) maka sisanya :
Play Coin Casino - CHAKEGOCASINO.COM
BalasHapusCoin Casino has over 80,000 games, with 100+ games, ラッキーニッキー so grab a 코인카지노 try now! Play with chips, slots, poker, and more. Start winning today! vua nhà cái